广东-凤楼论坛_楼凤宫论坛(品茶)_小海棠全国论坛最新信息_凤江湖论坛入口

浙轮电力主营APF有源电力滤波装置、电容器系列、电抗器系列、智能复合开关和无功补偿控制器等产品。
ZLDL-电抗器系列
ZLDL-ZXL正弦波滤波电抗器
所属分类:ZLDL-电抗器系列

 应用电路:
异步电机变频传动,变频器输出侧,抑制及吸收开关频率纹波电流所衍生的高次谐波电流,降低长电缆行波反射dv/dt瞬变电压,矫正波形近似为正弦波,大大延长了输出电缆长度,从而降低电机涡流损耗及噪音,保护电机绝缘。


性能特点


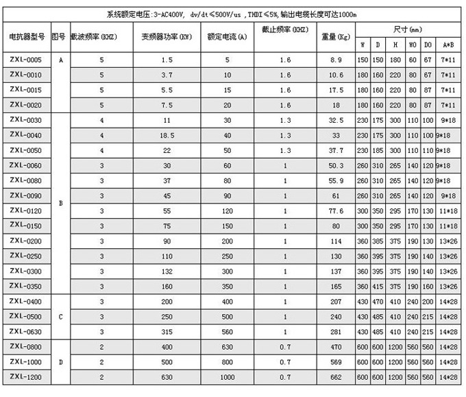
尺寸及技术参数:



正弦波滤波器(UD=8%-12.5%)技术参数:

备注:
产品标示A、B、C为滤波器三相输入端,X、Y、Z为滤波器三相输出端,L、N为220V风机电源接线端。

主站蜘蛛池模板: 马尔康县| 赫章县| 黄大仙区| 逊克县| 樟树市| 乌拉特后旗| 公安县| 米易县| 涟水县| 米脂县| 新巴尔虎右旗| 武义县| 高邑县| 六安市| 雷州市| 云南省| 育儿| 广宁县| 鄂州市| 德格县| 平邑县| 积石山| 克山县| 林周县| 曲周县| 玉树县| 乌苏市| 迭部县| 江都市| 原平市| 讷河市| 沧源| 楚雄市| 怀化市| 密云县| 甘谷县| 江西省| 崇信县| 股票| 永清县| 五寨县|